Номер 789 - ГДЗ Алгебра 8 класс. Мерзляк, Полонский. Учебник. Страница 192

Вернуться к содержанию учебника

Упражнения §23. Страница 192

786 787 788 789 790 791 792

Вопрос

При каком значении переменной:

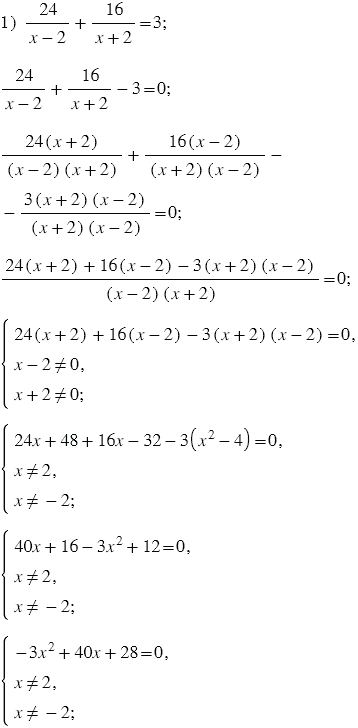
1) сумма дробей и равна 3;

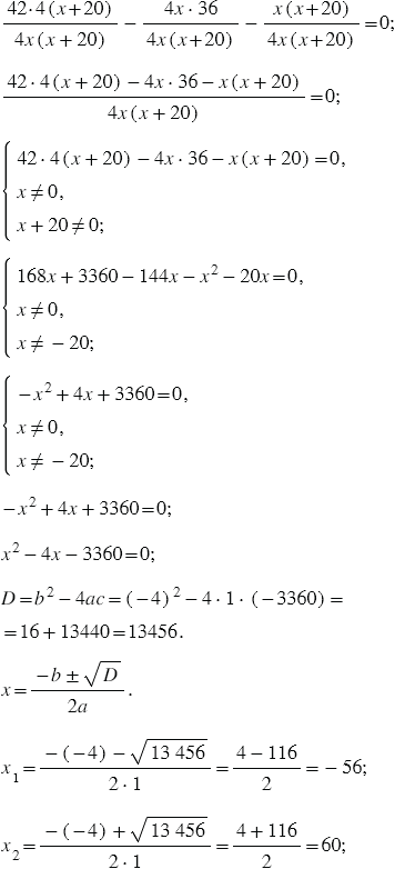
2) значение дроби на больше значения дроби ?

Подсказка

Ответ


Вернуться к содержанию учебника