Номер 790 - ГДЗ Алгебра 8 класс. Мерзляк, Полонский. Учебник. Страница 192

Вернуться к содержанию учебника

Упражнения §23. Страница 192

787 788 789 790 791 792 793

Вопрос

При каком значении переменной:

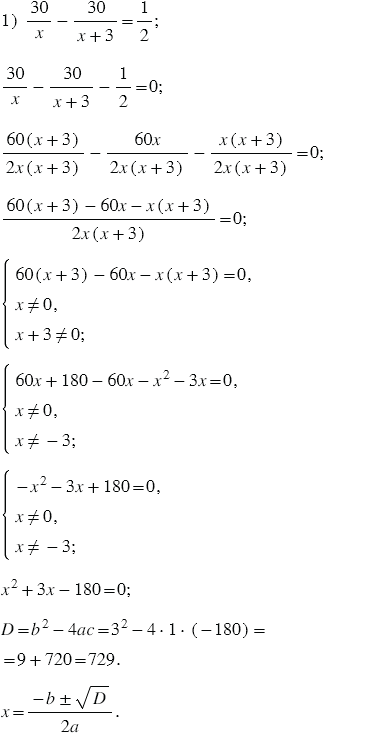
1) значение дроби на меньше значения дроби

2) значение дроби на 9 больше значения дроби ?

Подсказка

Ответ


Вернуться к содержанию учебника