Вернуться к содержанию учебника
Упражнения §23. Страница 192
789 790 791 792 793 794 795 796 797 798 799
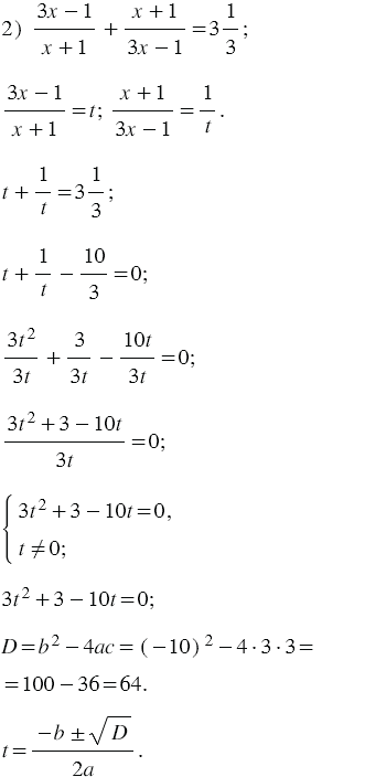
Решите уравнение методом замены переменной:
Вспомните: