Номер 798 - ГДЗ Алгебра 8 класс. Мерзляк, Полонский. Учебник. Страница 193

Вернуться к содержанию учебника

Упражнения §23. Страница 193

795 796 797 798 799 800 801

Вопрос

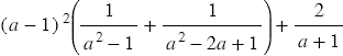
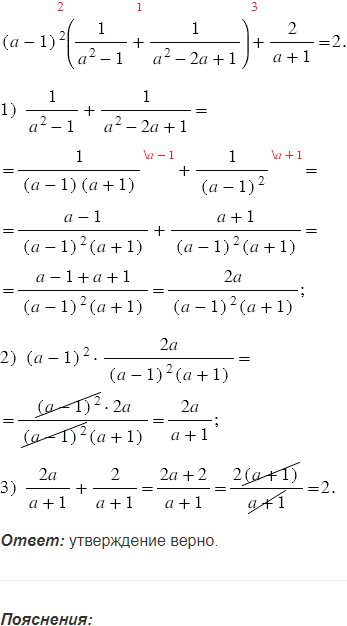
Верно ли утверждение, что при всех допустимых значениях переменной значение выражения

является положительным числом?

Подсказка

Ответ


Вернуться к содержанию учебника