Номер 800 - ГДЗ Алгебра 8 класс. Мерзляк, Полонский. Учебник. Страница 193

Вернуться к содержанию учебника

Упражнения §23. Страница 193

797 798 799 800 801 Когда сделаны уроки 802

Вопрос

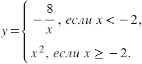
Постройте график функции:

Подсказка

Ответ


Вернуться к содержанию учебника