Номер 795 - ГДЗ Алгебра 8 класс. Мерзляк, Полонский. Учебник. Страница 192

Вернуться к содержанию учебника

Упражнения §23. Страница 192

792 793 794 795 796 797 798

Вопрос

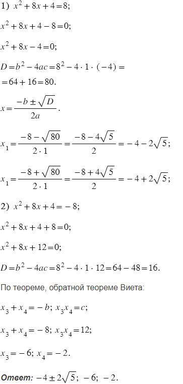
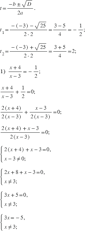
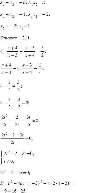
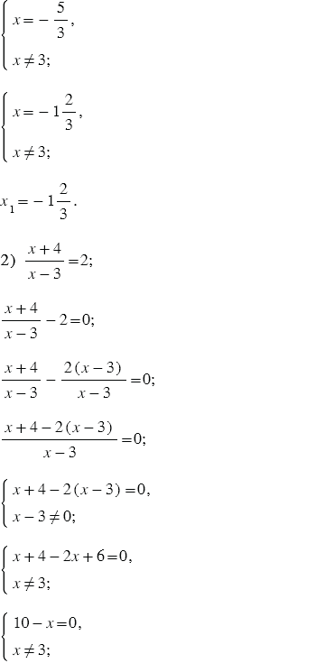
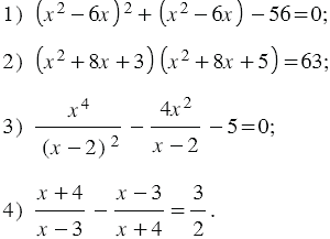
Решите уравнение:

Подсказка

Ответ


Вернуться к содержанию учебника