Вернуться к содержанию учебника
Упражнения §23. Страница 192
786 787 788 789 790 791 792 793 794 795 796
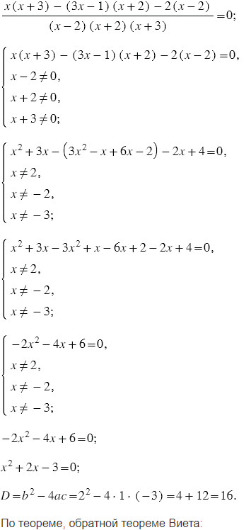
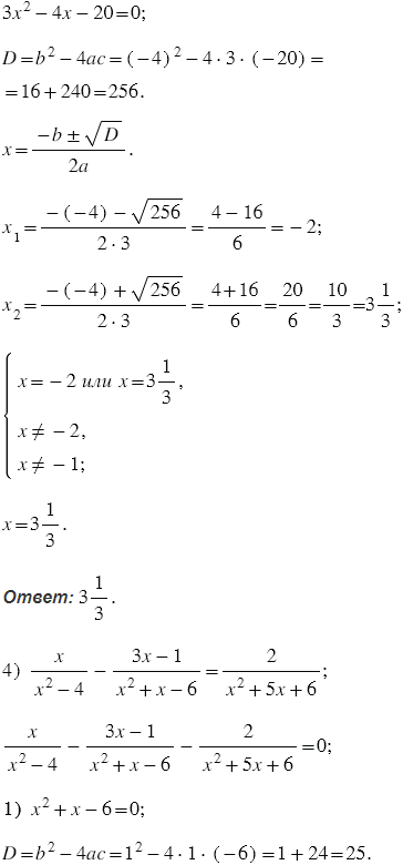
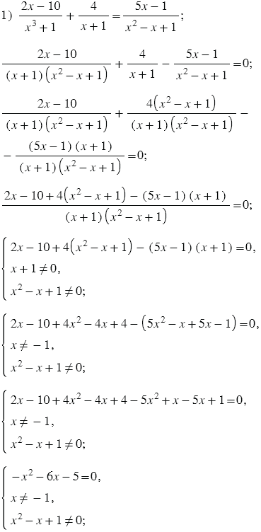
Решите уравнение:
Вспомните: