Номер 828 - ГДЗ Алгебра 8 класс. Мерзляк, Полонский. Учебник. Страница 202

Вернуться к содержанию учебника

Упражнения §24. Страница 202

825 826 827 828 829 830 831

Вопрос

Для наполнения бассейна через первую трубу требуется столько же времени, сколько для наполнения через вторую и третью трубы одновременно. Через первую трубу бассейн наполняется на 2 ч быстрее, чем через вторую, и на 8 ч быстрее, чем через третью. Сколько времени требуется для наполнения бассейна через каждую трубу?

Подсказка

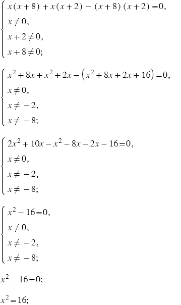
Ответ


Вернуться к содержанию учебника