Номер 832 - ГДЗ Алгебра 8 класс. Мерзляк, Полонский. Учебник. Страница 202

Вернуться к содержанию учебника

Упражнения §24. Страница 202

829 830 831 832 833 834 835

Вопрос

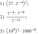
Вычислите:

Подсказка

Ответ


Вернуться к содержанию учебника