Вернуться к содержанию учебника
Выберите год учебника
№86 учебника 2023-2026 (стр. 22):
В результате рационализации производства удалось сократить число рабочих на комбинате. Вместо 1600 их осталось 1200. На сколько процентов сократилось число рабочих?
№86 учебника 2013-2022 (стр. 23):
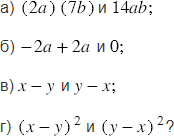
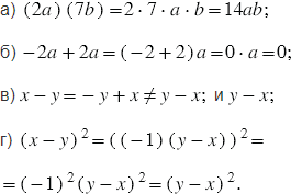
Являются ли тождественно равными выражения:

№86 учебника 2023-2026 (стр. 22):
Вспомните:
№86 учебника 2013-2022 (стр. 23):
Вспомните:
Вернуться к содержанию учебника