Вернуться к содержанию учебника
Выберите год учебника
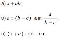
№88 учебника 2023-2026 (стр. 22):
Запишите в виде выражения:
а) сумму числа
и произведения чисел
и
;
б) частное от деления числа
на разность чисел
и
;
в) произведение суммы чисел
и
и разности чисел
и
.
№88 учебника 2013-2022 (стр. 23):
Какие свойства действий позволяют утверждать, что данное равенство является тождеством:

№88 учебника 2023-2026 (стр. 22):
Вспомните:
№88 учебника 2013-2022 (стр. 23):
Вспомните:
Вернуться к содержанию учебника