Вернуться к содержанию учебника
Выберите год учебника
№91 учебника 2023-2026 (стр. 25):
Найдите значение выражения:
а) 8,91 + 25,7 + 1,09;
б) 6,64 + 7,12 + 2,88;
в) 7,15 - 9,42 + 12,85 - 0,58;
г) 18,9 - 6,8 - 5,2 - 4,1.
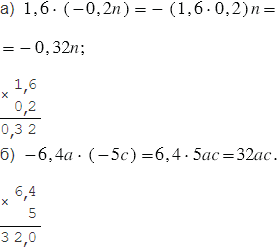
№91 учебника 2013-2022 (стр. 23):
Упростите выражение:

№91 учебника 2023-2026 (стр. 25):
Вспомните:
№91 учебника 2013-2022 (стр. 23):
Вспомните:
№91 учебника 2023-2026 (стр. 25):
а) 8,91 + 25,7 + 1,09 =
= (8,91 + 1,09) + 25,7 =
= 10 + 25,7 = 35,7;
б) 6,64 + 7,12 + 2,88 =
= 6,64 + (7,12 + 2,88) =
= 6,64 + 10 = 16,64;
в) 7,15 - 9,42 + 12,85 - 0,58 =
= (7,15 + 12,85) - (9,42 + 0,58) =
= 20 - 10 = 10;
г) 18,9 - 6,8 - 5,2 - 4,1 =
= (18,9 - 4,1) - (6,8 + 5,2) =
= 14,8 - 12 = 2,8.
Пояснения:
Из переместительного и сочетательного свойств сложения следует:
В любой сумме можно как угодно переставлять слагаемые и произвольным образом объединять их в группы.
№91 учебника 2013-2022 (стр. 23):

Пояснения:
Правила, по которым выполнены вычисления, смотри в подсказке.
Вернуться к содержанию учебника