Вернуться к содержанию учебника
Выберите год учебника
№95 учебника 2023-2026 (стр. 25):
Используя распределительное свойство умножения, выполните действие:

№95 учебника 2013-2022 (стр. 23):
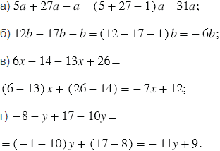
Приведите подобные слагаемые:

№95 учебника 2023-2026 (стр. 25):
Вспомните:
№95 учебника 2013-2022 (стр. 23):
Вспомните:
№95 учебника 2023-2026 (стр. 25):

№95 учебника 2013-2022 (стр. 23):

Пояснения:
Подобными слагаемыми называют слагаемые алгебраической суммы, имеющие одинаковую буквенную часть.
Приведением подобных слагаемых называют замену алгебраической суммы подобных слагаемых одним выражением. При этом пользуются правилом:
чтобы привести подобные слагаемые, надо сложить их коэффициенты и результат умножить на общую буквенную часть.
Вернуться к содержанию учебника