Вернуться к содержанию учебника
Выберите год учебника
№99 учебника 2023-2026 (стр. 25):
Для детского сада купили 5 наборов карандашей и 10 альбомов для рисования. Набор карандашей стоит
рублей, а альбом стоит
рублей. Какова стоимость покупки?
№99 учебника 2013-2022 (стр. 24):
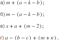
Запишите без скобок выражение:

№99 учебника 2023-2026 (стр. 25):
Вспомните буквенные выражения.
№99 учебника 2013-2022 (стр. 24):
Вспомните:
№99 учебника 2023-2026 (стр. 25):
5
р. - стоимость 5 наборов карандашей.
10
р. - стоимость 10 альбомов.
5
+ 10
(р.) - стоимость покупки.
Ответ: 5
+ 10
рублей.
Пояснения:
Чтобы найти стоимость покупки, можно число единиц товара умножить на цену одной единицы, полученные произведения сложить.
№99 учебника 2013-2022 (стр. 24):

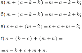
Пояснения:
Раскрытие скобок выполняется по следующим правилам:
Вернуться к содержанию учебника