Вернуться к содержанию учебника
Выберите год учебника
№96 учебника 2023-2026 (стр. 25):
Найдите значение выражения:
а) 3,5 • 6,8 + 3,5 • 3,2;
б) 12,4 • 14,3 - 12,4 • 4,3.
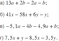
№96 учебника 2013-2022 (стр. 24):
Приведите подобные слагаемые:

№96 учебника 2023-2026 (стр. 25):
Вспомните:
№96 учебника 2013-2022 (стр. 24):
Вспомните:
№96 учебника 2023-2026 (стр. 25):
а) 3,5 • 6,8 + 3,5 • 3,2 = 3,5 • (6,8 + 3,2) =
= 3,5 • 10 = 35;
б) 12,4 • 14,3 - 12,4 • 4,3 =
= 12,4 • (14,3 - 4,3) = 12,4 • 10 = 124.

№96 учебника 2013-2022 (стр. 24):

Пояснения:
Подобными слагаемыми называют слагаемые алгебраической суммы, имеющие одинаковую буквенную часть.
Приведением подобных слагаемых называют замену алгебраической суммы подобных слагаемых одним выражением. При этом пользуются правилом:
чтобы привести подобные слагаемые, надо сложить их коэффициенты и результат умножить на общую буквенную часть.
Вернуться к содержанию учебника