Вернуться к содержанию учебника
Выберите год учебника
№98 учебника 2023-2026 (стр. 25):
Докажите, что:
а) сумма 24 • 17 + 17 • 6 делится на 5;
б) сумма 34 • 85 + 34 • 36 делится на 11.
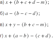
№98 учебника 2013-2022 (стр. 24):
Раскройте скобки:

№98 учебника 2023-2026 (стр. 25):
Вспомните свойства действий с рациональными числами.
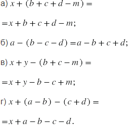
№98 учебника 2013-2022 (стр. 24):
Вспомните:
№98 учебника 2023-2026 (стр. 25):
а) 24 • 17 + 17 • 6 = 17 • (24 + 6) =
= 17 • 30 делится на 5, так как
30 : 5 = 6.
б) 34 • 85 + 34 • 36 = 34 • (85 + 36) =
= 34 • 121 делится на 11, так как
121 : 11 = 11.
Пояснения:
При доказательстве используем следующее:
Произведение делится на число
, если хотя бы один множитель делится на
.
№98 учебника 2013-2022 (стр. 24):

Пояснения:
Раскрытие скобок выполняется по следующим правилам:
Вернуться к содержанию учебника