Вернуться к содержанию учебника
Выберите год учебника
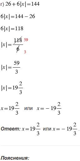
№158 учебника 2023-2026 (стр. 37):
Решите уравнение:

№158 учебника 2013-2022 (стр. 34):
Для ремонта школы прибыла бригада, в которой было в 2,5 раза больше маляров, чем плотников. Вскоре прораб включил в бригаду еще четырех маляров, а двух плотников перевел на другой объект. В результате маляров в бригаде оказалось в 4 раза больше, чем плотников. Сколько маляров и сколько плотников было в бригаде первоначально?
№158 учебника 2023-2026 (стр. 37):
Вспомните:
№158 учебника 2013-2022 (стр. 34):
Вспомните:
Вернуться к содержанию учебника