Вернуться к содержанию учебника
Выберите год учебника
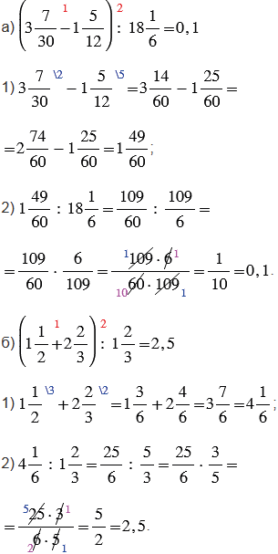
№160 учебника 2023-2026 (стр. 37):
Выполните действия:

№160 учебника 2013-2022 (стр. 34):
В корзине было в 2 раза меньше винограда, чем в ящике. После того как в корзину добавили 2 кг, в ней стало винограда на 0,5 кг больше,чем в ящике. Сколько винограда было в корзине?
№160 учебника 2023-2026 (стр. 37):
Вспомните:
№160 учебника 2013-2022 (стр. 34):
Вспомните:
Вернуться к содержанию учебника