Вернуться к содержанию учебника
Выберите год учебника
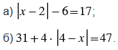
№159 учебника 2023-2026 (стр. 37):
Найдите корни уравнения:

№159 учебника 2013-2022 (стр. 34):
(Для работы в парах.) В классе учится ... учащихся. Отношение числа девочек к числу мальчиков равно 5 : 4. Сколько девочек и сколько мальчиков учится в классе?
1) Выясните, какие числа, соответствующие смыслу задачи, можно принять вместо многоточия.
2) Предложите друг другу закончить решение для одного из найденных чисел.
3) Обсудите полученные ответы.
№159 учебника 2023-2026 (стр. 37):
Вспомните:
№159 учебника 2013-2022 (стр. 34):
Вспомните, что показывает отношение двух чисел.
№159 учебника 2023-2026 (стр. 37):





№159 учебника 2013-2022 (стр. 34):
Отношение числа девочек к числу мальчиков:
5 : 4.
Всего учащихся - ?
1) 5 + 4 = 9, поэтому количество учащихся должно быть кратно 9, например, 9; 18; 27; 36 и т.д.
2) Пусть в классе 18 учащихся.
18 : 9 = 2 (уч.) - приходится на одну часть.
2 • 5 = 10 (уч.) - девочки.
2 • 4 = 8 (уч.) - мальчики.
Пусть в классе 36 учащихся.
36 : 9 = 4 (уч.) - приходится на одну часть.
4 • 5 = 20 (уч.) - девочки.
4 • 4 = 16 (уч.) - мальчики.
3) Девочек в классе больше, чем мальчиков.
Вернуться к содержанию учебника