Вернуться к содержанию учебника
Выберите год учебника
№450 учебника 2023-2026 (стр. 108):
(Для работы в парах.) Бассейн, имеющий форму куба, наполняется водой через трубу за 40 мин. Успеют ли за 5 ч наполнить водой через ту же трубу бассейн, имеющий форму куба, ребро которого вдвое больше?
1) Выскажите друг другу предположение об ожидаемом ответе.
2) Выполните самостоятельно вычисления.
3) Обсудите, подтвердились ли ваши предположения.
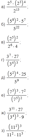
№450 учебника 2013-2022 (стр. 106):
Найдите значение выражения:

№450 учебника 2023-2026 (стр. 108):
Вспомните:
№450 учебника 2013-2022 (стр. 106):
Вспомните:
№450 учебника 2023-2026 (стр. 108):


№450 учебника 2013-2022 (стр. 106):

Пояснения:
При возведении степени в степень основание оставляют тем же, а показатели перемножают.
При умножении степеней с одинаковыми основаниями основание оставляют прежним, а показатели степеней складывают.
Также учитываем то, что черту дроби можно заменить делением (числитель разделить на знаменатель), а при делении степеней с одинаковыми основаниями основание оставляют прежним, а из показателя степени делимого вычитают показатель степени делителя.
Вернуться к содержанию учебника