Вернуться к содержанию учебника
Выберите год учебника
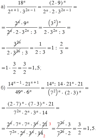
№552 учебника 2023-2026 (стр. 125):
Упростите выражение:

№552 учебника 2013-2022 (стр. 124):
Докажите, что при любом натуральном k:
а) число 34k оканчивается единицей;
б) число 10k - 1 кратно 3.
№552 учебника 2023-2026 (стр. 125):
Вспомните:
№552 учебника 2013-2022 (стр. 124):
Вспомните:
№552 учебника 2023-2026 (стр. 125):

Пояснения:
Чтобы упростить выражение, используем свойства степеней:
1) при умножении степеней с одинаковыми основаниями основание оставляют прежним, а показатели степеней складывают;
2) при делении степеней с одинаковыми основаниями основание оставляют прежним, а из показателя степени делимого вычитают показатель степени делителя;
3) чтобы возвести в степень произведение, достаточно возвести в эту степень каждый множитель и результаты перемножить;
4) при возведении степени в степень основание оставляют тем же, а показатели перемножают.
№552 учебника 2013-2022 (стр. 124):
а) 34k = (34)k = 81k - при любом значении k оканчивается единицей. Что и требовалось доказать.
б) Число 10k состоит из единицы и k нулей, значит, число 10k - 1 будет состоять из k девяток (10 - 1 = 9, 100 - 1 = 99, 1000 - 1 = 999 и т.д.), а число, состоящее из любого количества девяток делится нацело на 9, следовательно, число 10k - 1 при любом значении k кратно 3. Что и требовалось доказать.
Вернуться к содержанию учебника