Вернуться к содержанию учебника
Выберите год учебника
№554 учебника 2023-2026 (стр. 126):
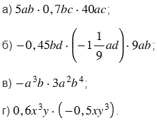
Упростите:

№554 учебника 2013-2022 (стр. 124):
Представьте выражение в виде одночлена стандартного вида и укажите его степень:

№554 учебника 2023-2026 (стр. 126):
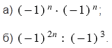
Вспомните:
№554 учебника 2013-2022 (стр. 124):
Вспомните:
№554 учебника 2023-2026 (стр. 126):


№554 учебника 2013-2022 (стр. 124):

Пояснения:
Если одночлен представлен в виде произведения числового множителя, который стоит на первом месте, и степеней с различными основаниями, то его называют одночленом стандартного вида.
Чтобы представить выражения в виде одночлена стандартного вида, перемножаем числовые множители и степени с одинаковыми основаниями. При умножении степеней с одинаковыми основаниями основание оставляют прежним, а показатели степеней складывают;
Степенью одночлена называют сумму показателей степеней всех переменных, входящих в него. Степень одночлена, который является числом, отличным от нуля, считают равной нулю.
Вернуться к содержанию учебника