Номер 581 - ГДЗ Алгебра 7 класс. Мерзляк, Полонский. Учебник. Страница 105

Вернуться к содержанию учебника

Страница 105

578 579 580 581 582 583 584

Вопрос

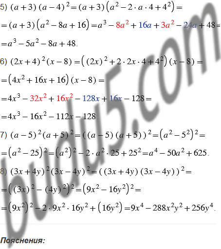
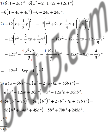
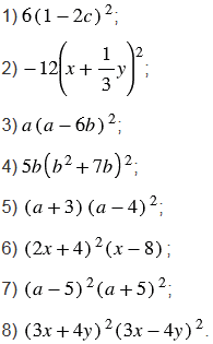
Преобразуйте в многочлен выражение:

Подсказка

Ответ


Вернуться к содержанию учебника