Номер 582 - ГДЗ Алгебра 7 класс. Мерзляк, Полонский. Учебник. Страница 105

Вернуться к содержанию учебника

Страница 105

579 580 581 582 583 584 585

Вопрос

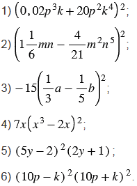
Представьте в виде многочлена выражение:

Подсказка

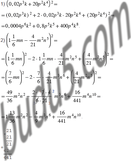
Ответ


Вернуться к содержанию учебника