Номер 584 - ГДЗ Алгебра 7 класс. Мерзляк, Полонский. Учебник. Страница 106

Вернуться к содержанию учебника

Страница 106

581 582 583 584 585 586 587

Вопрос

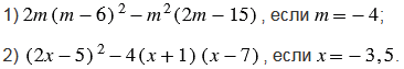
Упростите выражение и найдите его значение:

Подсказка

Ответ


Вернуться к содержанию учебника