Номер 587 - ГДЗ Алгебра 7 класс. Мерзляк, Полонский. Учебник. Страница 106

Вернуться к содержанию учебника

Страница 106

584 585 586 587 588 589 590

Вопрос

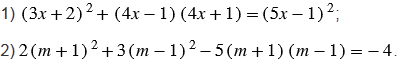
Решите уравнение:

Подсказка

Ответ


Вернуться к содержанию учебника