Задание 21. Вопросы для повторения к главе XI - ГДЗ Геометрия 7-9 класс. Атанасян. Учебник

Старая и новая редакции

Вернуться к содержанию учебника

Вопросы для повторения к главе XI. Страница 267, 268

18 19 20 21 22 23 24

Вопрос

Выберите год учебника

№21 учебника 2013-2022 (стр. 267):

Сформулируйте и докажите утверждения о свойствах скалярного произведения векторов.


№21 учебника 2023-2026 (стр. 268):

Напишите уравнения прямых, проходящих через данную точку и параллельных осям координат.

Подсказка

№21 учебника 2013-2022 (стр. 267):

Вспомните:

  1. Что такое вектор.
  2. Что такое скалярное произведение векторов, скалярный квадрат.
  3. Что такое прямоугольная система координат, координаты вектора.
  4. Что такое скалярное произведение векторов в координатах.
  5. Свойства скалярного произведения векторов.

№21 учебника 2023-2026 (стр. 268):

Вспомните:

  1. Что такое прямая.
  2. Что такое прямоугольная система координат.
  3. Координаты точки.
  4. Уравнение прямой.
  5. Какие прямые называются параллельными.

Ответ

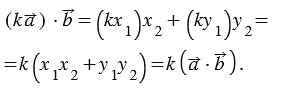
№21 учебника 2013-2022 (стр. 267):


№21 учебника 2023-2026 (стр. 268):


Вернуться к содержанию учебника