Задание 1377 - ГДЗ Геометрия 7-9 класс. Атанасян. Учебник. Страница 359

Старая и новая редакции

Вернуться к содержанию учебника

1374 1375 1376 1377 1378 1379 1380

Вопрос

№1377 учебника 2023-2026 (стр. 359):

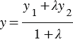
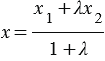
Даны две точки A(x1; y1) и B(x2; y2). Докажите, что координаты (x; y) точки С, делящей отрезок АВ в отношении λ (т. е. ), выражается формулами , .

Подсказка

№1377 учебника 2023-2026 (стр. 359):

Вспомните:

  1. Что такое отрезок.
  2. Что такое отношение.
  3. Что такое координаты вектора.
  4. Что такое координаты точки и как связаны координаты вектора с координатами его начала и конца.
  5. Простейшие задачи в координатах.

Ответ

№1377 учебника 2023-2026 (стр. 359):


Вернуться к содержанию учебника