Вернуться к содержанию учебника
Выберите год учебника
№414 учебника 2023-2025 (стр. 101):
Прочитайте выражение:

№414 учебника 2013-2022 (стр. 102):
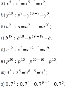
Представьте в виде степени частное:

№414 учебника 2023-2025 (стр. 101):
Вспомните степень с натуральным показателем.
№414 учебника 2013-2022 (стр. 102):
Вспомните:
Вернуться к содержанию учебника