Вернуться к содержанию учебника
Выберите год учебника
№409 учебника 2023-2026 (стр. 100):
(Задача-исследование.) Найдите всевозможные значения
, где
- натуральное число, при которых число 90 является наименьшим общим кратным чисел 15 и
.
1) Разложите на простые множители каждое из чисел 90 и 15.
2) Обсудите, какие множители должны входить в разложение числа
.
3) Сделайте вывод о значениях числа
.
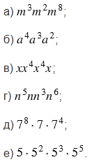
№409 учебника 2013-2022 (стр. 102):
Запишите в виде степени выражение:

№409 учебника 2023-2026 (стр. 100):
Вспомните:
№409 учебника 2013-2022 (стр. 102):
Вспомните:
Вернуться к содержанию учебника