Вернуться к содержанию учебника
Выберите год учебника
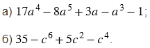
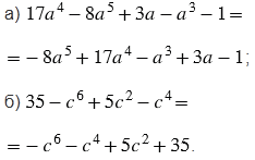
№593 учебника 2023-2026 (стр. 131):
Расположите члены многочлена по убывающим степеням переменной:

№593 учебника 2013-2022 (стр. 132):
Найдите многочлен, после подстановки которого вместо М следующее равенство окажется тождеством:

№593 учебника 2023-2026 (стр. 131):
Вспомните:
№593 учебника 2013-2022 (стр. 132):
Вспомните:
Вернуться к содержанию учебника