Вернуться к содержанию учебника
Выберите год учебника
№594 учебника 2023-2026 (стр. 131):
Расположите члены многочлена по возрастающим степеням переменной:

№594 учебника 2013-2022 (стр. 132):
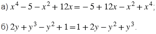
Какой многочлен в сумме с многочленом
тождественно равен:
а) 0;
б) 18;

№594 учебника 2023-2026 (стр. 131):
Вспомните:
№594 учебника 2013-2022 (стр. 132):
Вспомните:
Вернуться к содержанию учебника