Вернуться к содержанию учебника
Выберите год учебника
№304 учебника 2023-2026 (стр. 103):
Найдите координаты точек пересечения графика функции \[ y = x^{3} + 4x^{2} + x - 6 \] с осями координат.
№304 учебника 2014-2022 (стр. 90):
Решите неравенство:
а) \(x^{2} + 2x - 48 < 0;\)
б) \(2x^{2} - 7x + 6 > 0;\)
в) \(-x^{2} + 2x + 15 < 0;\)
г) \(-5x^{2} + 11x - 6 > 0;\)
д) \(4x^{2} - 12x + 9 > 0;\)
е) \(25x^{2} + 30x + 9 < 0;\)
ж) \(-10x^{2} + 9x > 0;\)
з) \(-2x^{2} + 7x < 0.\)
№304 учебника 2023-2026 (стр. 103):
Вспомните:
№304 учебника 2014-2022 (стр. 90):
Вспомните:
№304 учебника 2023-2026 (стр. 103):
1) С осью \(y\): \(x = 0\).
\[ y = 0^{3} + 4\cdot 0^{2} + 0 - 6 = -6. \]
\( (0;\,-6)\) - точка пересечения с осью \(y\).
2) С осью \(x\): \(y = 0\).
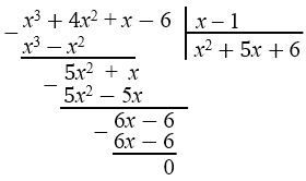
\( x^{3} + 4x^{2} + x - 6 = 0\)
\(\pm1;\, \pm2;\, \pm3;\, \pm6\) - делители числа 2.
Если \(x = 1\), то
\( 1^{3} + 4\cdot1^{2} + 1 - 6 = 0\)
\( 1 + 4 + 1 - 6 = 0\)
\(0 = 0\) - верно.
\(x = 1\) — корень уравнения.

\( x^{3} + 4x^{2} + x - 6 = (x - 1)(x^{2} + 5x + 6)\)
\( (x - 1)(x^{2} + 5x + 6)=0\)
\(x^{2} + 5x + 6=0\)
\(D = 5^2 - 4\cdot1\cdot 6 = \)
\(= 25 - 24 = 1 > 0\) - 2 корня.
\(\sqrt1 = 1\).
\(x_1 = \frac{-5 + 1}{2\cdot1} = \frac{-4}{2} = -2\).
\(x_1 = \frac{-5 - 1}{2\cdot1} = \frac{-6}{2} = -3\).
Корни уравнения:
\( x = 1,\quad x = -2,\quad x = -3. \)
\( (1;\,0),\, (-2;\,0),\, (-3;\,0)\) - точки пересечения с осью \(x\).
Ответ: \( (0;\,-6),\, (1;\,0),\, (-2;\,0),\, (-3;\,0).\)
Пояснения:
1. Пересечение с осью \(Oy\)
Чтобы найти точку на оси \(Oy\), всегда подставляем \(x = 0\). Значение функции и будет координатой \(y\).
2. Пересечение с осью \(Ox\)
Чтобы найти точки пересечения с \(Ox\), нужно решить уравнение \(y = 0\). В данном случае это кубическое уравнение. Если многочлен имеет целый корень, то он является делителем свободного члена (последнего числового коэффициента). Поэтому для уравнений с целыми коэффициентами удобно проверять несколько простых значений \(x\) (например, \(\pm1, \pm2, \pm3,\dots\)). Найденное значение, при котором многочлен обращается в ноль, даёт линейный множитель \((x - x_0)\).
После нахождения корня \(x_0\) мы делим многочлен на \((x - x_0)\) (столбиком) и получаем многочлен меньшей степени. Процесс можно повторять, пока степень не станет 2, а затем решить квадратное уравнение стандартными способами (формула дискриминанта, разложение на множители).
Квадратное уравнение
\(ax^{2} + bx + c = 0\)
решается через дискриминант
\(D = b^2 - 4ac\).
Если \(D > 0\), то уравнение имеет 2 корня:
\[ x_{1,2} = \dfrac{-b \pm \sqrt{D}}{2a}. \]
№304 учебника 2014-2022 (стр. 90):
а) \(x^{2} + 2x - 48 < 0\)
\(y = x^{2} + 2x - 48\) - парабола, ветви которой направлены вверх, так как \(a = 1 > 0\).
\(x^{2} + 2x - 48 = 0\)
\(D = 2^{2} - 4\cdot1\cdot(-48) =\)
\(=4 + 192 = 196 > 0\) - 2 корня.
\( \sqrt{D} = 14.\)
\(x_{1} = \dfrac{-2 + 14}{2} =\frac{12}{2} = 6.\)
\(x_{2} = \dfrac{-2 - 14}{2} =\frac{-16}{2} = -8.\)

Ответ: \(x\in(-8;\, 6).\)
б) \(2x^{2} - 7x + 6 > 0\)
\(y = 2x^{2} - 7x + 6\) - парабола, ветви которой направлены вверх, так как \(a = 2 > 0\).
\(2x^{2} - 7x + 6 = 0.\)
\(D = (-7)^{2} - 4\cdot2\cdot6 =\)
\(=49 - 48 = 1 > 0\) - 2 корня.
\( \sqrt{D} = 1.\)
\(x_{1} = \dfrac{7 + 1}{4} =\frac{8}{4} = 2.\)
\(x_{2} = \dfrac{7 - 1}{4} =\frac{6}{4} = \frac32= 1,5.\)

Ответ: \(x \in (-\infty; 1,5) \cup (2;+\infty).\)
в) \(-x^{2} + 2x + 15 < 0\)
\(y=-x^{2} + 2x + 15\) - парабола, ветви которой направлены вниз, так как \(a = -1 < 0\).
\(-x^{2} + 2x +15 = 0\) \(/\times (-1)\)
\(x^{2} - 2x -15 = 0\)
\(D = (-2)^{2} - 4\cdot1\cdot(-15) = \)
\(=4 + 60 = 64 > 0\) - 2 корня.
\(\sqrt{D} = 8.\)
\(x_{1} = \dfrac{2 + 8}{2} =\frac{10}{2} = 5.\)
\(x_{2} = \dfrac{2 - 8}{2} =\frac{-6}{2} = -3.\)

Ответ: \(x\in(-\infty;-3) \cup(5; +\infty).\)
г) \(-5x^{2} + 11x - 6 > 0\)
\(y = -5x^{2} + 11x - 6\) - парабола, ветви которой направлены вниз, так как \(a = - 5 < 0\).
\(-5x^{2} + 11x - 6 = 0\) \(/\times (-1)\)
\(5x^{2} - 11x + 6 = 0\)
\(D = (-11)^{2} - 4\cdot5\cdot6 =\)
\(=121 - 120 = 1 > 0\) - 2 корня.
\( \sqrt{D} = 1.\)
\(x_{1} = \dfrac{11 + 1}{2\cdot5} = \frac{12}{10} = 1,2.\)
\(x_{2} = \dfrac{11 - 1}{2\cdot5} = \frac{10}{10} = 1.\)

Ответ: \(x \in (1; \, 1,2)\).
д) \(4x^{2} - 12x + 9 > 0\)
\(y = 4x^{2} - 12x + 9\) - парабола, ветви которой направлены вверх, так как \(a = 4 > 0\).
\(4x^{2} - 12x + 9 = 0\)
\(D = (-12)^{2} - 4\cdot4\cdot9 =\)
\(=144 - 144 = 0\) - 1 корень.
\(x = \frac{-12}{2\cdot4} = \frac{12}{8} = \frac32=1,5\).

Ответ: \(x \in (-\infty;\, 1,5) \cup (1,5; \, +\infty)\).
е) \(25x^{2} + 30x + 9 < 0\)
\(y = 25x^{2} + 30x + 9\) - парабола, ветви которой направлены вверх, так как \(a = 25 > 0\).
\(25x^{2} + 30x + 9 = 0\)
\(D = 30^2 - 4\cdot 25 \cdot 9 =\)
\( = 900 - 900 = 0\) - 1 корень.
\(x = \frac{-30}{2\cdot25} = -\frac{30}{50}=-\frac35 = -0,6\).

Ответ: нет решения.
ж) \(-10x^{2} + 9x > 0\)
\(y = -10x^{2} + 9x\) - парабола, ветви которой направлены вниз, так как \(a = -10 < 0\).
\(-10x^{2} + 9x=0\)
\(x(-10x + 9) = 0\)
\(x = 0\) или \(-10x + 9 = 0\)
\(-10x = -9\)
\(x = \dfrac{-9}{-10}\)
\(x = 0,9\)

Ответ: \(x \in (0;\,0,9).\)
з) \(-2x^{2} + 7x < 0\)
\(y = -2x^{2} + 7x \) - парабола, ветви которой направлены вниз, так как \(a = -2 < 0\).
\(-2x^{2} + 7x = 0\)
\(x(-2x + 7) = 0\)
\(x = 0\) или \(-2x + 7 = 0\)
\(-2x = -7\)
\( x = \dfrac{-7}{-2}\)
\( x = 3,5\)

Ответ: \(x \in (-\infty; 0\,) \cup (3,5;\, +\infty)\).
Пояснения:
Решение неравенств вида
\(ax^2 + bx + c > 0\) и \(ax^2 + bx + c < 0\):
1) находим дискриминант квадратного трехчлена \(ax^2 + bx + c\) и выясняем имеет ли трехчлен корни;
2) если трехчлен имеет корни, то отмечаем их на оси \(x\) и через отмеченные точки проводим схематически параболу, ветви которой направлены вверх при \(a > 0\) или вниз при \(a < 0\); если трехчлен не имеет корней, то схематически изображают параболу, расположенную в верхней полуплоскости при \(a > 0\) или нижней при \(a < 0\);
3) находят на оси \(x\) промежутки, для которых точки параболы расположены выше оси \(x\) (если решают неравенство \(ax^2 + bx + c > 0\)) или ниже оси \(x\) (если решают неравенство \(ax^2 + bx + c < 0\)).
Если знак неравенства строгий (\(>\) или \(<\)), то точку на координатной прямой делаем "выколотой" (незакрашенной), при записи промежутка используем круглую скобку.
У \(-\infty\) и \(+\infty\) при записи промежутка скобка всегда круглая.
Дискриминант квадратного трехчлена
\(ax^2 + bx + c \):
\(D = b^2 - 4ac\).
Если \(D > 0\), то квадратный трехчлен имеет 2 корня:
\(x_{1,2} = \frac{-b \pm \sqrt D}{2a}\).
Если \(D = 0\), то квадратный трехчлен имеет 1 корень:
\(x = -\frac{b}{2a}\).
Если \(D < 0\), то квадратный трехчлен не имеет корней.
В случае, когда коэффициент \(c = 0\), то есть имеем двучлен \(ax^2 + bx\), корни находим разложением многочлена на множители \(x(ax + b)\) и используем то, что произведение равно нулю только тогда, когда хотя бы один из множителей равен нулю: \(x = 0\) или \(ax + b = 0\), откуда \(x = -\frac{b}{a}\).
Вернуться к содержанию учебника