Номер 113 - ГДЗ Алгебра 8 класс. Мерзляк, Полонский. Учебник. Страница 29

Вернуться к содержанию учебника

Упражнения § 4. Страница 29

110 111 112 113 114 115 116

Вопрос

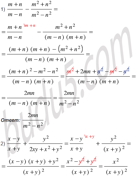
Упростите выражение:

Подсказка

Ответ


Вернуться к содержанию учебника