Вернуться к содержанию учебника
Упражнения § 4. Страница 29
110 111 112 113 114 115 116 117 118 119 120
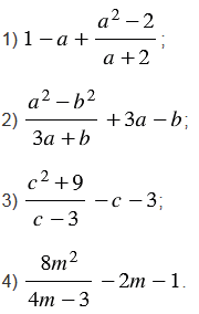
Представьте в виде дроби выражение:
Вспомните: