Задание 1385 - ГДЗ Геометрия 7-9 класс. Атанасян. Учебник. Страница 360

Старая и новая редакции

Вернуться к содержанию учебника

1382 1383 1384 1385 1386 1387 1388

Вопрос

№1385 учебника 2023-2026 (стр. 360):

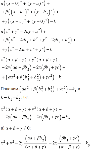
Даны три точки А, В, С и три числа , , . Найдите множество всех точек М, для каждой из которых сумма АМ2 + ВМ2 + СМ2 имеет постоянное значение, если:

а) + + 0;

б) + + = 0.

Подсказка

№1385 учебника 2023-2026 (стр. 360):

Вспомните:

  1. Что такое точка, прямая.
  2. Какой вид имеет уравнение окружности.
  3. Какой вид имеет уравнение прямой.
  4. Что такое координаты точки.
  5. Простейшие задачи в координатах.

Ответ

№1385 учебника 2023-2026 (стр. 360):


Вернуться к содержанию учебника